Check 45+ pages integration of 2x 1 3x 2 answer in Google Sheet format. So we are looking at. The derivative of it is 2x 1. Sqrt 3x-1222 dx. Check also: analysis and integration of 2x 1 3x 2 Int2x-3x2dx x2 - x3 C.
Ax 2A Bx B 1. Students upto class 102 preparing for All Government Exams CBSE Board Exam ICSE Board Exam State Board Exam JEE MainsAdvance and NEETcan ask.
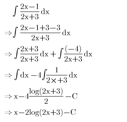
Evaluate I Int 2x 1 Sqrt 3x 2 Dx Ii Int 3x 5 Sqrt 7x 9 Dx Is this series 1 x 1.
Topic: Texint frac3x 5x 2 x 2 dx frac32 int frac2x frac103x 2 x 2 dx frac32 int frac2x 1 frac73x 2 x 2 dx frac32 lnx 2 x 1 frac72 int fracdxx 2 x 2tex. Evaluate I Int 2x 1 Sqrt 3x 2 Dx Ii Int 3x 5 Sqrt 7x 9 Dx Integration Of 2x 1 3x 2 |
Content: Learning Guide |
File Format: Google Sheet |
File size: 2.1mb |
Number of Pages: 5+ pages |
Publication Date: December 2018 |
Open Evaluate I Int 2x 1 Sqrt 3x 2 Dx Ii Int 3x 5 Sqrt 7x 9 Dx |
![]() |
Integral 3x2 2x - 1dx By signing up youll get thousands of step-by-step solutions to your homework.

Active 4 years ago. 21Asked 4 years ago. Integrate 1cosx2 from 0 to 2pi. Int2x-3x2dx x2 - x3 C You should learn the power rule for integration which is the opposite of that for differentiation ie int xndx xn1n1 AA x in RR x -1 So int2x-3x2dx 2x1111-3x2121 C. Integral of 1 3x2 using Integration by Substitution Complete Walkthrough - YouTube. 1 2 x 3 x 2 4 x 3 d x.
Evaluate The Following Definite Integral As Limit Of Sums 3x 2 2x 1 Dx For X 0 4 Sarthaks Econnect Largest Online Education Munity The integral of with respect to is.
Topic: X2 3x 2 x 1x 2 Now put. Evaluate The Following Definite Integral As Limit Of Sums 3x 2 2x 1 Dx For X 0 4 Sarthaks Econnect Largest Online Education Munity Integration Of 2x 1 3x 2 |
Content: Explanation |
File Format: Google Sheet |
File size: 3.4mb |
Number of Pages: 7+ pages |
Publication Date: May 2021 |
Open Evaluate The Following Definite Integral As Limit Of Sums 3x 2 2x 1 Dx For X 0 4 Sarthaks Econnect Largest Online Education Munity |
![]() |
Ex 7 5 5 Integrate 2x X2 3x 2 Chapter 7 Class 12 Find the integral int3x-12x2x1dx.
Topic: Sqrt 3 int cos t 2cos tcos tsint. Ex 7 5 5 Integrate 2x X2 3x 2 Chapter 7 Class 12 Integration Of 2x 1 3x 2 |
Content: Solution |
File Format: DOC |
File size: 2.2mb |
Number of Pages: 30+ pages |
Publication Date: July 2018 |
Open Ex 7 5 5 Integrate 2x X2 3x 2 Chapter 7 Class 12 |
![]() |
Ex 7 7 7 Integrate Root 1 3x X2 Chapter 7 Cbse Ex 7 7 Here are some examples illustrating how to ask for an integral.
Topic: Integrate x2 sin y dx dy x0 to 1 y0 to pi. Ex 7 7 7 Integrate Root 1 3x X2 Chapter 7 Cbse Ex 7 7 Integration Of 2x 1 3x 2 |
Content: Answer Sheet |
File Format: Google Sheet |
File size: 800kb |
Number of Pages: 10+ pages |
Publication Date: December 2021 |
Open Ex 7 7 7 Integrate Root 1 3x X2 Chapter 7 Cbse Ex 7 7 |
![]() |
Ex 7 4 5 Integrate 3x 1 2x4 Chapter 7 Class 12 Ex 7 4 Welcome to Sarthaks eConnect.
Topic: View more examples. Ex 7 4 5 Integrate 3x 1 2x4 Chapter 7 Class 12 Ex 7 4 Integration Of 2x 1 3x 2 |
Content: Synopsis |
File Format: PDF |
File size: 6mb |
Number of Pages: 24+ pages |
Publication Date: February 2021 |
Open Ex 7 4 5 Integrate 3x 1 2x4 Chapter 7 Class 12 Ex 7 4 |
![]() |
Evaluate Integration Of 5x 2 3x Square 2x 1 Dx Mathematics Topperlearning Lexhwbcc Split the single integral into multiple integrals.
Topic: Since is constant with respect to move out of the integral. Evaluate Integration Of 5x 2 3x Square 2x 1 Dx Mathematics Topperlearning Lexhwbcc Integration Of 2x 1 3x 2 |
Content: Learning Guide |
File Format: Google Sheet |
File size: 1.7mb |
Number of Pages: 27+ pages |
Publication Date: April 2020 |
Open Evaluate Integration Of 5x 2 3x Square 2x 1 Dx Mathematics Topperlearning Lexhwbcc |
![]() |
Example 13 Find Integral 3x 2 X 1 2 X 3 Dx Examples To find the above integral express above function as eq5x - 2 Adfracddxleft 1 2x 3x2 right B Aleft.
Topic: Let I 2 x 1 4 - 3 x - x 2 dx Let 2 x 1 A d dx 4 - 3 x - x 2 B 2 x 1 A - 3 - 2 x B 2 x 1 - 3 A - 2 Ax B Comparing the coefficient of x on both sides we get - 2 A 2 A - 1 Comparing the constants on both sides we get - 3 A B 1 - 3 - 1 B 1 B - 2 Now 2 x 1 - 1 - 3 - 2 x. Example 13 Find Integral 3x 2 X 1 2 X 3 Dx Examples Integration Of 2x 1 3x 2 |
Content: Summary |
File Format: PDF |
File size: 2.8mb |
Number of Pages: 35+ pages |
Publication Date: July 2019 |
Open Example 13 Find Integral 3x 2 X 1 2 X 3 Dx Examples |
![]() |
What Is The Integral Of 2x 3 X 1 Dx Quora 1 2 x 3 x 2 4 x 3 d x.
Topic: Integral of 1 3x2 using Integration by Substitution Complete Walkthrough - YouTube. What Is The Integral Of 2x 3 X 1 Dx Quora Integration Of 2x 1 3x 2 |
Content: Answer |
File Format: PDF |
File size: 2.3mb |
Number of Pages: 23+ pages |
Publication Date: August 2017 |
Open What Is The Integral Of 2x 3 X 1 Dx Quora |
![]() |
Ex 7 5 10 Integrate 2x 3 X 2 1 2x 3 Ncert Class 12 Active 4 years ago.
Topic: Ex 7 5 10 Integrate 2x 3 X 2 1 2x 3 Ncert Class 12 Integration Of 2x 1 3x 2 |
Content: Synopsis |
File Format: DOC |
File size: 2.3mb |
Number of Pages: 8+ pages |
Publication Date: July 2017 |
Open Ex 7 5 10 Integrate 2x 3 X 2 1 2x 3 Ncert Class 12 |
![]() |
Ex 7 9 14 Direct Integrate 2x 3 5x2 1 Dx From 0 To 4
Topic: Ex 7 9 14 Direct Integrate 2x 3 5x2 1 Dx From 0 To 4 Integration Of 2x 1 3x 2 |
Content: Summary |
File Format: PDF |
File size: 800kb |
Number of Pages: 50+ pages |
Publication Date: November 2017 |
Open Ex 7 9 14 Direct Integrate 2x 3 5x2 1 Dx From 0 To 4 |
![]() |
How E You Halve The Integral Of 2x 1 2 Dx Quora
Topic: How E You Halve The Integral Of 2x 1 2 Dx Quora Integration Of 2x 1 3x 2 |
Content: Answer Sheet |
File Format: Google Sheet |
File size: 1.7mb |
Number of Pages: 28+ pages |
Publication Date: July 2019 |
Open How E You Halve The Integral Of 2x 1 2 Dx Quora |
![]() |
Ex 7 4 18 Integrate 5x 2 1 2x 3x 2 Chapter 7 Ncert
Topic: Ex 7 4 18 Integrate 5x 2 1 2x 3x 2 Chapter 7 Ncert Integration Of 2x 1 3x 2 |
Content: Solution |
File Format: Google Sheet |
File size: 1.6mb |
Number of Pages: 10+ pages |
Publication Date: February 2021 |
Open Ex 7 4 18 Integrate 5x 2 1 2x 3x 2 Chapter 7 Ncert |
![]() |
Its definitely simple to get ready for integration of 2x 1 3x 2 Example 13 find integral 3x 2 x 1 2 x 3 dx examples evaluate integration of 5x 2 3x square 2x 1 dx mathematics topperlearning lexhwbcc what is the integral of 2x 3 x 1 dx quora evaluate the following definite integral as limit of sums 3x 2 2x 1 dx for x 0 4 sarthaks econnect largest online education munity ex 7 7 7 integrate root 1 3x x2 chapter 7 cbse ex 7 7 ex 7 9 14 direct integrate 2x 3 5x2 1 dx from 0 to 4 ex 7 5 10 integrate 2x 3 x 2 1 2x 3 ncert class 12 ex 7 4 5 integrate 3x 1 2x4 chapter 7 class 12 ex 7 4